
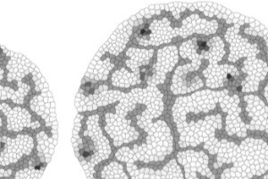
During angiogenesis, endothelial cells expand the vasculature by migrating from existing blood vessels, proliferating and collectively organizing into new capillaries. In vitro and in vivo experimentation is instrumental for identifying the molecular players and cell behaviour that regulate angiogenesis. Alongside experimental work, computational and mathematical models of endothelial cell network formation have helped to analyse if the current molecular and cellular understanding of endothelial cell behaviour is sufficient to explain the formation of endothelial cell networks. As input, the models take (a subset of) the current knowledge or hypotheses of single cell behaviour and capture it into a dynamical, mathematical description. As output, they predict the multicellular behaviour following from the actions of many individual cells, i.e., formation of a vascular-like network. Paradoxically, computational modelling based on different assumptions, i.e., completely different, sometimes non-intersecting sets of observed single cell behaviour, can reproduce the same angiogenesis-like multicellular behaviour, making it practically impossible to decide which, if any, of these models is correct. Here we present dynamical analyses of time-lapses of in vitro endothelial cell network formation experiments and compare these with dynamic analyses of three mathematical models: (1) the cell elongation model; (2) the contact-inhibited chemotaxis model; and (3) the mechanical cell-cell communication model. We extract a variety of dynamical characteristics of endothelial cell network formation using a custom time-lapse video analysis pipeline in ImageJ. We compare the dynamical network characteristics of the in vitro experiments to those of the cellular networks produced by the computational models. We test the response of the in silico dynamical cell network characteristics to changes in cell density and make related changes in the in vitro experiments. Of the three computational models that we have considered, the cell elongation model best captures the remodelling phase of in vitro endothelial cell network formation. Furthermore, in the in vitro model, the final size and number of lacunae in the network are independent of the initial cell density. This observation is also reproduced in the cell elongation model, but not in the other two models that we have considered. Altogether, we present an approach to model validation based on comparisons of time-resolved data and variations of model conditions.
Author SummaryUnderstanding how blood vessels grow and organise into well-structured networks is crucial for many clinical applications, from wound healing to cancer treatment. The growth of blood vessels, known as angiogenesis, involves endothelial cells migrating, proliferating, and forming new vascular structures. Angiogenesis is studied through biological experiments, but mathematical models are also used to test whether our understanding of cell behaviour is sufficient to explain cell network formation. Models assuming chemotaxis, elongated cell shape, contact inhibition or mechanical cell-cell communication often produce similar results despite the large differences in the underlying assumptions, making it difficult to determine which model is most accurate. In this study, we analysed time-lapse videos of endothelial cell network formation and compared these with three computational models: (1) the cell elongation model, (2) the contact-inhibited chemotaxis model, and (3) the mechanical cell-cell communication model. By examining the dynamics of network formation and testing how they change with cell density, we found that the cell elongation model best captures key aspects of the real-life cell network remodelling process. This approach highlights the importance of time-resolved data in evaluating computational models and provides a framework for refining our understanding of angiogenesis.





























































































